News
Outcrop Silver Provides An Update On Its Regional Exploration Program At Santa Ana
November 12, 2024 – Outcrop Silver & Gold Corporation (TSXV:OCG, OTCQX:OCGSF, DE:MRG) (“Outcrop Silver”) is pleased to provide an update on the regional exploration and target generation program. Mapping from the El 20 historic mine workings has shown a potential mineralized shoot in Los Mangos vein with highly prospective assays (Table 1). In addition, regional exploration work done at La Rica prospect confirmed a series of veins carrying significant gold grades (Figure 4). Outcrop Silver continues executing its ambitious regional exploration program, aiming to generate drill-ready targets with the potential for increasing the Mineral Resource. Outcrop Silver currently has two rigs exploration drilling with Los Mangos being the next target to be tested.
Highlights in Recent Work from the 2024 Regional Exploration Program
- The target generation program continues advancing targets for near-term drilling along the 17 kilometre fully permitted mineralized vein corridor.
- Mapping and channel samplings from underground workings at Los Mangos show mineralization along 30 meters in a quartz vein. The returning assays are up to 1,737 grams of silver across 1.60 metres (Figure 2). Los Mangos is the next target to be drilled.
- Samplings from La Rica target are returning up to 15.59 grams per tonne of gold in channel samples and 53.92 in chip samples from float boulders (Table 2).
“After launching our regional exploration program, we are thrilled with the amount of geological knowledge generated in recent months,” comments Guillermo Hernandez, Vice President of Exploration. “The generated data is a key component in the exploration process to better define potential targets. Our strategy is to conduct comprehensive assessments on every single vein target to increase our overall exploration success rate. The regular process starts with the selection of areas based on geophysics, regional geochemical surveys, and previous reports of historic small-scale mining activities. Then our crew goes down, starts mapping the area, and collects rock samples from float boulders or outcrops, always keeping in mind all the potential structural controls in the region. When outcrops are scarce, we design and execute detailed soil surveys, followed by trenching campaigns to expose veins and mineralized fault zones. Finally, after defining a minimum exploration unit, which is a confirmed vein trace of at least 250 metres long that shows rock sample assays higher than 300 g/t AgEq with consistency, the target moves to drill planning that involves logistical, social and environmental analyses additionally to the geological one”.
The target generation program continues defining the Los Mangos vein and La Rica targets located to the south of the initial Mineral Resource. To date, three targets have been confirmed through drilling: Aguilar, Jimenez, and La Ye (see News Releases dated July 17, 2024, September 11, 2024, and October 8, 2024). Additional targets, such as Los Mangos, La Rica, Frias, and Morena, are ready to be drilled for the first time after extensive mapping campaigns, thorough rock samplings, and targeted soil geochemical surveys.

Figure 1. General exploration strategy, including the exploration pipeline and Mineral
Resource veins. Targets in red are those confirmed through drilling. Targets in blue represent those to be confirmed through drilling as a priority.
Los Mangos
Detailed geological mapping in the El 20 historic mine workings showed the Los Mangos vein as an anastomosing pinch and swell vein with an average width of 1.32 metres and the potential for finding a parallel vein on the hanging wall (Figure 2). Channel samples from El 20 workings have returned encouraging grades up to 2.28 grams per tonne of gold and 1,737 grams per tonne of silver (Table 1) along the main adit for a total distance of 30 metres. The mineralization observed in the workings is consistent with the high-grade mineralization typical throughout the Santa Ana project - massive coarse-grained sulfide bands or clusters, primarily consisting of pyrite and argentite hosted in whitish quartz veins (Figure 3).

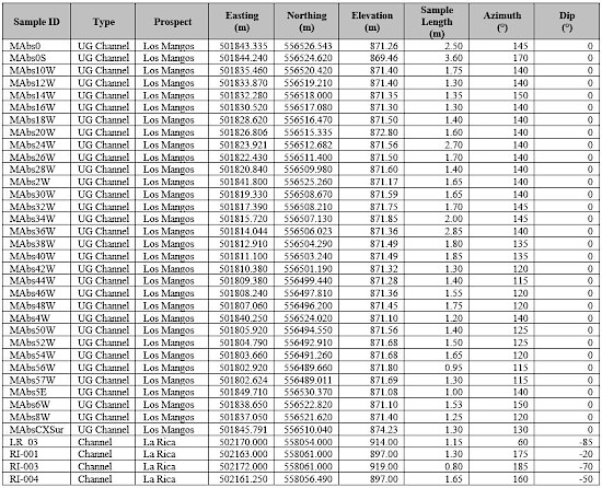
Table 1. Channel sample assay results reported in this release from the El 20 historic mine at Los Mangos target. Silver equivalent (AgEq) was calculated using each element’s prices, recovery, and grades using the formula given in the silver equivalent note. Channel samples lengths are interpreted as the true width of the vein.

Figure 2. Geological map of the El 20 historic underground mine at the Los Mangos vein target. Silver equivalent (AgEq) was calculated using each element’s prices, recovery, and grades using the formula given in the silver equivalent note.

Figure 3. Photos of hand specimens from the El 20 historic workings showing pyrite-rich clusters with coarse-grained argentite (black spots).
La Rica
Follow-up geological mapping work from the program reported in the News Release dated September 04, 2024, confirmed the extension of this prospective vein for nearly 600 metres with consistent float occurrences showing gold grades ranging from 3.48 to 53.92 grams per tonne (Figure 4 and Table 2). Additional detailed continous channel samples on the northern extension of La Rica revealed a 1.0 metre wide vein zone at 10.52 grams per tonne of gold (Table 3). La Rica target continues to show parallel shallow dipping veins striking between 270 to 290° hosted by a granodioritc intrusion. Further work planned involves trenches once the soil assays results are available.

Figure 4. Map of the La Rica target showing exploration work done to date with extensive float and channel samplings. The soil geochemical survey samples locations are shown with assays pending. Silver equivalent (AgEq) was calculated using each element’s prices, recovery, and grades using the formula given in the silver equivalent note.

Table 2. Channel and chip sample results in the La Rica target from the target generation program previously reported and referred to in Figure 4 (see News Releases dated September 04, 2024). Silver equivalent (AgEq) was calculated using each element’s prices, recovery, and grades using the formula given in the silver equivalent note. Sample lengths are interpreted as true widths.

Table 3. Channel sample results in the La Rica referred to in Figure 4. Silver equivalent (AgEq) was calculated using each element’s prices, recovery, and grades using the formula given in the silver equivalent note. Sample lengths are interpreted as true widths.

Table 4. Collar and survey table for channel samples reported in this release. All coordinates are UTM system, Zone 18N, and WGS84 projection. Sample lengths are interpreted as true widths.
Silver equivalent
Metal prices used for equivalent calculations were US$1,800/oz for gold, and US$25/oz for silver. The equivalency formula as follows:
Metallurgical recoveries based on Outcrop Silver’s Metallurgical test work are 97% for gold and 93% for silver (see NR from August 23, 2023).
QA/QC
For exploration core drilling, Outcrop Silver applied its standard protocols for sampling and assay. HQ-NTW core is sawn with one-half shipped. Core samples were sent to either ALS, Actlabs or SGS in Medellin, Colombia, for preparation. Samples delivered to Actlabs were AA assayed on Au, Ag, Pb, and Zn at Medellin using 1A2Au, 1A3Au, Multi-elements AR (Ag Cu Pb Zn), and Code 8 methods. Then, samples were sent to Actlabs Mexico for ICP-multi-elemental analysis with code 1E3. After preparation, the samples sent to ALS Colombia were shipped to ALS Lima for assaying using Au-ICP21, Au-GRA21, ME-MS41, Ag-GRA21, Ag-AA46, Pb-AA46, and Zn-AA46 methods. In line with QA/QC best practices, blanks, duplicates, and certified reference materials are inserted at approximately three control samples every twenty samples into the sample stream, monitoring laboratory performance. A comparison of control samples and their standard deviations indicates acceptable accuracy of the assays and no detectible contamination. No material QA/QC issues have been identified with respect to sample collection, security and assaying. The samples are analyzed for gold and silver using a standard fire assay on a 30-gram sample with a gravimetric finish for over-limits. Multi-element geochemistry was determined by ICP-MS using either aqua regia or four acid digestions. Crush rejects, pulps, and the remaining core are stored in a secured facility at Santa Ana for future assay verification.
Qualified Person
Edwin Naranjo Sierra is the designated Qualified Person within the meaning of the National Instrument 43-101 and has reviewed and verified the technical information in this news release. Mr. Naranjo holds a MSc. in Earth Sciences, and is a Fellow of the Australasian Institute of Mining and Metallurgy (FAusIMM) and the Society of Economic Geologists.
About Santa Ana
The 100% owned Santa Ana project covers 27,000 hectares within the Mariquita District, through titles and applications, known as the largest and highest-grade primary silver district in Colombia with mining records dating back to 1585.
Santa Ana’s maiden resource estimate, detailed in the NI 43-101 Technical Report titled “Santa Ana Property Mineral Resource Estimate,” dated June 8, 2023, prepared by AMC Mining Consultants, indicates an estimated indicated resource of 24.2 million ounces silver equivalent at a grade of 614 grams per tonne and an inferred resource of 13.5 million ounces at a grade of 435 grams per tonne. The identified resources span seven major vein systems that include multiple parallel veins and ore shoots: Santa Ana (San Antonio, Roberto Tovar, San Juan shoots); La Porfia (La Ivana); El Dorado (El Dorado, La Abeja shoots); Paraiso (Megapozo); Las Maras; Los Naranjos, and La Isabela.
The 2024 drilling campaign aims to extend known mineralization and test new high-potential areas along the permitted section of the project’s extensive 30 kilometres of mineralized trend. This year’s exploration strategy aims to demonstrate a clear pathway to substantially expand the resource. These efforts underscore the scalability of Santa Ana and its potential for substantial resource growth, positioning the project to develop into a high-grade, economically viable, and environmentally responsible silver mine.
About Outcrop Silver
Outcrop Silver is a leading explorer and developer focused on advancing its flagship Santa Ana high-grade silver project in Colombia. Leveraging a disciplined and seasoned team of professionals with decades of experience in the region. Outcrop Silver is dedicated to expanding current mineral resources through strategic exploration initiatives.
At the core of our operations is a commitment to responsible mining practices and community engagement, underscoring our approach to sustainable development. Our expertise in navigating complex geological and market conditions enables us to consistently identify and capitalize on opportunities to enhance shareholder value. With a deep understanding of the Colombian mining landscape and a track record of successful exploration, Outcrop Silver is poised to transform the Santa Ana project into a significant silver producer, contributing positively to the local economy and setting new standards in the mining industry.
ON BEHALF OF THE BOARD OF DIRECTORS
Ian Harris
Chief Executive Officer
+1 604 638 2545
moc.revlisporctuo@sirrah
www.outcropsilver.com
Kathy Li
Vice President of Investor Relations
+1 778 783 2818
moc.revlisporctuo@il
Neither the TSX Venture Exchange nor its Regulation Services Provider (as such term is defined in the policies of the TSX Venture Exchange) accepts responsibility for the adequacy or accuracy of this release.
Certain information contained herein constitutes “forward-looking information” under Canadian securities legislation. Generally, forward-looking information can be identified by the use of forward-looking terminology such as “potential,” “we believe,” or variations of such words and phrases or statements that certain actions, events or results “will” occur. Forward-looking statements are based on the opinions and estimates of management as of the date such statements are made and they are subject to known and unknown risks, uncertainties and other factors that may cause the actual results, level of activity, performance or achievements of Outcrop to be materially different from those expressed or implied by such forward-looking statements or forward-looking information, including: the receipt of all necessary regulatory approvals, capital expenditures and other costs, financing and additional capital requirements, completion of due diligence, general economic, market and business conditions, new legislation, uncertainties resulting from potential delays or changes in plans, political uncertainties, and the state of the securities markets generally. Although management of Outcrop have attempted to identify important factors that could cause actual results to differ materially from those contained in forward-looking statements or forward-looking information, there may be other factors that cause results not to be as anticipated, estimated or intended. There can be no assurance that such statements will prove to be accurate, as actual results and future events could differ materially from those anticipated in such statements. Accordingly, readers should not place undue reliance on forward-looking statements and forward-looking information. Outcrop will not update any forward-looking statements or forward-looking information that are incorporated by reference.
