News
Outcrop Granted 5,046 Hectares of Mining Titles and Announces Discovery of Seven New High-Grade Targets on Its Expanded Santa Ana Project
December 7, 2021 – Vancouver, BC – Outcrop Silver & Gold Corporation (TSXV:OCG, OTCQX:OCGSF, DE:MRG1) (“Outcrop”) is pleased to announce that new titles comprising 5,046 hectares at the 100% owned Santa Ana high-grade silver project were granted to the company by the National Mining Agency of Colombia. Theses titles cover the Royal Santa Ana to Frias vein systems. Additionally, Outcrop´s exploration team has discovered seven new vein targets north and south of Santa Ana with potential to deliver new high-grade shoots in the short term.
Highlights
• The Santa Ana project consists of 36,000 hectares, however only one title of 942 hectares has been drilled to date where seven ore shoots have been discovered. With the addition of 5,046 hectares the company now holds a total of 5,988 hectares of titles to conduct exploration drilling along the main trend of veins that runs from north of the historic Royal Santa Ana Mines southwest 20 kilometres to the Frias Mine.
• Numerous areas of historic mining areas provide significant potential at depth and along strike and define areas for discovery of new shoots.
• During the second half of 2021, Outcrop’s exploration team generated seven new vein targets north and south of Santa Ana with samples showing significant gold and silver concentrations up to 64.75 g Au/t and 5,242 g Ag/t in vein and shear outcrop and surface float of eroded vein cobbles.
• The new targets will be drilled starting in the first quarter of 2022.
“The new titles granted to Outcrop and the discovery of seven new vein targets showing high grades look very promising and guarantee new drilling targets with potential of delivering additional high-grade shoots during 2022,” comments Jesus Velador, Vice President of Exploration. “Outcrop is on track to continue unlocking the full potential of its Santa Ana project during 2022.”
“Outcrop’s expert team in Colombia continues to generate high quality targets at Santa Ana,” adds Joseph Hebert, Chief Executive Officer, “These new targets and titles advance our objective of identifying a total of twelve high-quality shoots in 2022. Twelve shoots would provide a cumulative potential resource area of combined shoots of over 3,000 metres laterally by over 300 metres projected to depth.”
With the new grant by the National Mining Agency, Outcrop has ten titles covering a total surface of 5,988 hectares along the main trend of vein systems running from one kilometre north of the Royal Santa Ana Mines to south of the Frias Mine. The Frias mine has recorded production of 7.8 million ounces of silver at 1.3 kg Ag/t recovered grade, from a shoot similar in size to an average shoot discovered by Outcrop.
From north to south Outcrop now has title over 20 kilometres of vein systems from 2 kilometres north of the Royal Santa Ana mines and 5 kilometres southwest of the historic Frias mine (Figure 1). The Frias mine is described in more detail in Outcrop’s November’s 15th news release. The Royal Santa Ana Mines – Frias Mine corridor has discovery potential along its entire length.
Figure 1. Property map showing vein systems, applications in brown and yellow and the new granted titles outlined in black. All the drilling to date has occurred within the dashed-yellow polygon. The new targets which will be drill tested starting in Q1 are 1- El Dorado North, 2- Los Naranjos, 3- Alaska, 4- Chepe & Estrella, 5- La Isabela, 6- Las Maras and 7-Espiritu Santo.

New Targets
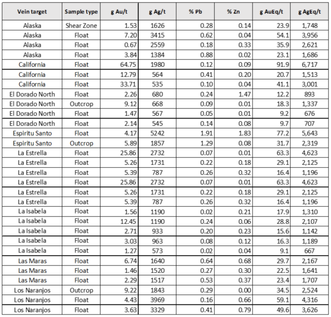
Outcrop’s exploration team has discovered seven new vein targets, located north and south of the current area of drilling, all with high silver and gold grades on surface and easy access (Figure 2 and Table 1). Surface permitting has commenced to start drilling the targets by priority in early 2022. Outcrop’s exploration team will continue prospecting and advancing the targets while its CSR teams will engage communities within the titles to the south, including the Frias Mine area.
Targets to the north of the Royal Santa Ana mines include Dorado North, Los Naranjos, and Alaska, each on different Santa Ana veins system extensions. The new targets to the south include Espiritu Santo, California, La Estrella, and La Isabella. Mapping and sampling have also provided better understanding of the earlier generated targets, including Las Maras and Chepe. Notably, the California target shows a high of 6,717 g EqAg/t at surface.
Figure 2. Map showing arsenic geochemistry, surface samples (floats/outcrop) color coded for silver equivalent grades (diamonds), mapped and interpreted vein traces, discovered shoots to date (white call outs) and new vein targets (yellow call outs).

Table 1. Float and outcrop samples with significant gold and silver concentrations collected during 2021 from new vein targets shown in figure 2.

For equivalent calculations $1,900 per ounce gold, $26 per ounce silver, $0.87 per pound lead and $1.08 per pound zinc were used.
La Ye Target
Five kilometres further south of the new targets identified, Baroyeca Gold and Silver Inc (Baroyeca) recently released a high-grade vein intercept from its first phase drilling (Baroyeca Gold and Silver Inc. November 15, 2021, News Release). Baroyeca has discovered an ore shoot on their single title, the northwest corner of which clips the regional vein systems (Figure 1). This La Ye vein system extends to the northeast and southwest directly onto titles held by Outcrop and provides an additional high-potential target. This further confirms that the vein systems are continuous through the length of Outcrop’s project from north of the Royal Santa Ana Mines to south of El Porvenir Mine over a distance of more than 30 kilometres.
QA/QC
Core samples are sent to either Actlabs in Medellin or ALS Chemex in Medellin for preparation and then to ALS Chemex in Toronto or Lima, Peru for analysis. In line with QA/QC best practice, approximately three control samples are inserted per twenty samples (one blank, one standard and one field duplicate). The samples are analysed for gold using standard fire-assay on a 50-gram sample with a gravimetric finish. Multi-element geochemistry is determined by ICP-MS using either aqua regia (ME-MS41) or four acid (ME-MS61) digestion. Comparison to control samples and their standard deviations indicates acceptable accuracy of the assays and no detectible contamination.
About Santa Ana
The 100% owned Santa Ana project comprises over 36,000 hectares located in northern Tolima Department, Colombia, 190 kilometres from Bogota. The project consists of five or more regional scale parallel vein systems across a trend 12 kilometres wide and 30 kilometres long. The Santa Ana project covers a significant part of the Mariquita District where mining records date to at least 1585. The Mariquita District is the highest-grade primary silver district in Colombia, with historic silver grades reported to be among the highest in Latin America from dozens of mines. Historic mining depths support a geologic and exploration model for composite mesothermal and epithermal vein systems having mineralization that likely extends to great depth. At Santa Ana it is unlikely that there is sharp elevation restriction common to high-grade zones in many epithermal systems with no mesozonal component.
At the core Royal Santa Ana project, located at the northern extent of just one of the regional vein systems controlled by Outcrop, seven high grade shoots have been discovered – La Ivana hanging-wall and footwall (La Porfia vein system); San Antonio, Roberto Tovar, San Juan (Royal Santa Ana vein systems); El Dorado (El Dorado and El Paraiso vein systems) and Megapozo (El Paraiso vein system). Each zone commonly contains multiple parallel veins. The veins can show both high-grade silver and high-grade gold mineralization and low angle veins appear to connect more common high angle veins.
Outcrop drilling indicates that mineralization extends from surface or near surface to depths of at least 300 metres. Cumulatively, over 60 kilometres of mapped and inferred vein zones occur on the Santa Ana project. The Frias Mine on the south-central part of the project, 12 kilometres south of the Royal Santa Ana Mines produced 7.8 million ounces of silver post-production in the Spanish colonial era at a recovered grade of 1.3 kg Ag/t. The Frias Mine is considered an analogue to each of the seven shoots discovered to date by Outcrop.
Outcrop has advanced numerous target areas to the north, including north Eldorado that comprises the northern extension of seven Royal Santa Ana veins for over 1 kilometre. The north Eldorado shows high values over 3.0 kg Ag/t. Between the Royal Santa Ana mines and Frias, veins have been extended 2.8 kilometres to the south providing strong drill targets in the Espiritu Santo, Maras, and El Christo veins that show high values up to 5.5 kg AgEq/t. These veins show widths up to 2.8 to 4.0 metres.
Sustainability
Outcrop is committed to sustainable exploration and has implemented environmental protocols, best operating practices, and community-beneficial programs in Falan. Some of the established and operating protocols and programs include high environmental standards for surface exploration and drilling, environmental education and recycling programs for the community and company workers, and collaborative efforts with local authorities and families for construction of apiaries and sustainable gardens. Additionally, 60% of the Santa Ana´s project work force is local and 100% is Colombian.
About Outcrop
Outcrop is rapidly advancing exploration on five silver and gold exploration projects with world-class discovery potential in Colombia. Outcrop is currently drilling and expanding the Santa Ana historic high-grade silver district. These assets are being advanced by a highly disciplined and seasoned professional team with decades of experience in Colombia.
Qualified Person
The technical information in this news release has been approved by Joseph P Hebert, a qualified person as defined in NI43-101 and President and Chief Executive Officer of Outcrop.
ON BEHALF OF THE BOARD OF DIRECTORS
Joseph P Hebert, Chief Executive Officer Mars Investor Relations
+1 775 340 0450 +1 647 557 6640
moc.dlogdnarevlisporctuo@trebeh.hpesoj moc.snoitalerrotsevnisram@gco
www.outcropsilverandgold.com
Neither the TSX Venture Exchange nor its Regulation Services Provider (as such term is defined in the policies of the TSX Venture Exchange) accepts responsibility for the adequacy or accuracy of this release. Certain information contained herein constitutes “forward-looking information” under Canadian securities legislation. Generally, forward-looking information can be identified by the use of forward-looking terminology such as “potential”, “we believe”, or variations of such words and phrases or statements that certain actions, events or results “will” occur. Forward-looking statements are based on the opinions and estimates of management as of the date such statements are made and they are subject to known and unknown risks, uncertainties and other factors that may cause the actual results, level of activity, performance or achievements of Outcrop to be materially different from those expressed or implied by such forward-looking statements or forward-looking information, including: the receipt of all necessary regulatory approvals, capital expenditures and other costs, financing and additional capital requirements, completion of due diligence, general economic, market and business conditions, new legislation, uncertainties resulting from potential delays or changes in plans, political uncertainties, and the state of the securities markets generally. Although management of Outcrop have attempted to identify important factors that could cause actual results to differ materially from those contained in forward-looking statements or forward-looking information, there may be other factors that cause results not to be as anticipated, estimated or intended. There can be no assurance that such statements will prove to be accurate, as actual results and future events could differ materially from those anticipated in such statements. Accordingly, readers should not place undue reliance on forward-looking statements and forward-looking information. Outcrop will not update any forward-looking statements or forward-looking information that are incorporated by reference herein, except as required by applicable securities laws.