News
Outcrop Confirms Vein Continuity in La Ivana Discovery at Santa Ana With Delineation Drilling Including 0.55 Metres of 1,389 Grams Silver Equivalent Per Tonne
March 31, 2021 – Vancouver, BC – Outcrop Gold Corp. (TSXV:OCG, OTCQX:OCGSF, DE:MRG1) (“Outcrop”) is pleased to announce that delineation drilling in La Ivana on its 100% owned Santa Ana project in north Tolima, Colombia, has commenced and confirms good continuity of vein-shoot structure and grade over hundreds of metres.
La Ivana Highlights
- 0.55 metres of 19 grams gold equivalent per tonne or 1,389 grams silver equivalent per tonne intercepted in the first assays returned from La Ivana delineation drilling.
- For all significant holes in La Ivana the weighted average grade is 24.7 grams gold equivalent per tonne or 1,805 grams silver equivalent per tonne.
- La Ivana currently extends to 350 metres down dip where it remains open at depth and in two directions along strike.
- Modelling shows La Ivana is a complex of six parallel stacked veins grouped within an interval of 50 to 75 metres wide.
- Grades and widths improve at depth in La Ivana.
“We are very pleased with the results of the first few holes of our delineation drilling as we continue to expand upon our known vein systems,” comments Joseph Hebert, Chief Executive Officer. “With the recent closing of our $9.2 million financing we are well positioned to actively carry out our robust Phase Three Drill Program and unlock more value in the Santa Ana silver district.”
One drill rig is delineating the five discoveries to date (La Ivana, Megapozo, Roberto Tovar, San Juan, and Eldorado), commencing with La Ivana. The second drill rig continues testing greenfield targets. Outcrop has built a strong geologic and exploration model for greenfield targets and to target plunging shoots at depth.
Continued drilling confirms that La Ivana shoot is comprised of a complex of six low-angle, parallel veins (Section 1) that strike north and dip to the west. The vein complex of the shoot extends for over 250 metres width along strike. The main highwall and footwall La Porfia veins of La Ivana shoot extend to depths of over 350 metres where they are open at depth. Definition drilling will extend the vein segments between the highwall and footwall La Porfia veins.
Significant intercepts in La Ivana shoot range from a low of 238 to a high of 6,401 equivalent g Ag/t. Fourteen of twenty-five intercepts are of greater than 1,000 equivalent g Ag/t. The weighted average grade for all significant intercepts is 1,805 equivalent g Ag/t and the average intercept thickness is 0.52 metres. The shoot rakes or plunges to the northwest within the plane of the vein and shows a core of higher-grade and a wider mineralization with depth (Section 2).
Table 1: La Ivana drill intercepts.

For equivalent calculations $1,900 per ounce gold, $26 per ounce silver, $0.87 per pound lead and $1.08 per pound zinc were used. Intervals shown are drill intercept, true thickness cannot be calculated yet. *Previously reported drill-holes. Drill holes 52 and 55 targeted El Dorado and intercepted La Ivana at depth. Delineation drilling of La Ivana commenced with drill hole 86.
Section 1: Geologic modelling shows that La Ivana consists of a complex of six stacked, parallel vein segments that extend downdip 350 metres. The six vein segments grouped within an interval of 50 to 75 metres. Delineation drilling will expand and define these stacked vein segments.

Section 2: Equivalent g Au/t in long section (in plan for low angle shoot) that outcrops to east and dipping west. The approximate dimensions of the shoot are 300 metres by 300 metres and it is open in at least three directions.

Section 3: Equivalent g Ag/t in long section (in plan for low angle shoot) that outcrops to east and dipping west. The approximate dimenisions of the shoot are 300 metres by 300 metres and it is open in at least three directions.

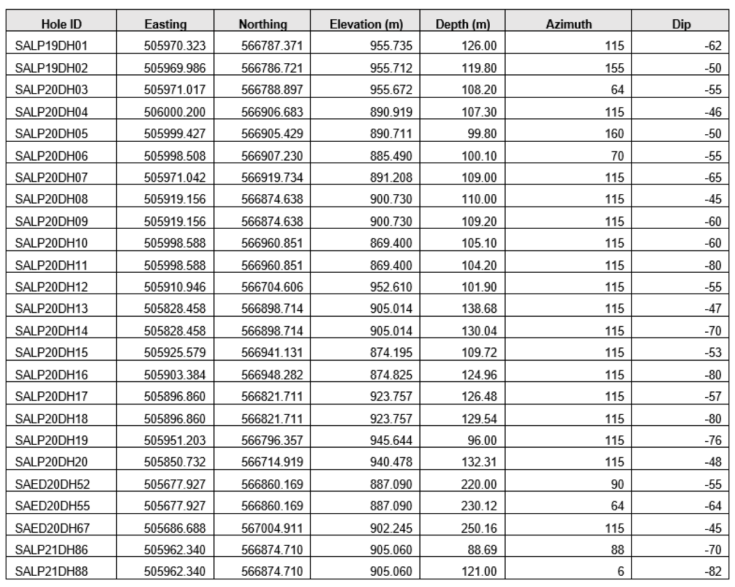
Table 2: Collar information for La Ivana drill holes.

QA/QC
Core samples are sent to either Actlabs in Medellin or ALS Chemex in Medellin for preparation and then to ALS Chemex in Toronto or Lima, Peru for analysis. In line with QA/QC best practice, approximately three control samples are inserted per twenty samples (one blank, one standard and one field duplicate). The samples are analyzed for gold using standard fire-assay on a 50-gram sample with a gravimetric finish. Multi-element geochemistry is determined by ICP-MS using either aqua regia (ME-MS41) or four acid (ME-MS61) digestion. Comparison to control samples and their standard deviations indicates acceptable accuracy of the assays and no detectible contamination.
About Santa Ana Project
The Santa Ana project comprises over 28,000 ha located in northern Tolima Department, Colombia, 190 km from Bogota. The project consists of five regional scale parallel vein systems across a trend 12 kilometres wide and 30 kilometres long. The Santa Ana project covers a significant part of the Mariquita District where mining records date to at least 1585. The Mariquita District is the highest-grade primary silver district in Colombia, with historic silver grades reported to be among the highest in Latin America from dozens of mines.
Historic mining depths support a geologic and exploration model for composite mesothermal and epithermal vein systems having mineralization that likely extends to great depth. At Santa Ana it is unlikely that there is sharp elevation restriction common to high-grade zones in many epithermal systems with no mesozonal component.
At the core Santa Ana project, located at the northern extent of just one of the regional vein systems controlled by Outcrop, at least twelve principle vein zones are recognized that cumulatively provide up to 14 km of cumulative strike length – La Ivana (La Porfia vein system), Roberto Tovar (Royal Mines, including the Santa Ana, Delhuyar and Roberto Tovar vein systems), San Juan (Santa Ana and Delhuyar vein systems), El Dorado (El Dorado and El Paraiso vein systems), Morales, Pollera, Guanabanera, San Antonio, Palomos, Murillo, Culebra and Megapozo (El Paraiso vein system). Each zone commonly contains multiple parallel veins. The veins can show both high-grade silver and high-grade gold mineralization and may be both low and high angle depending on local controls. Drilling indicates that mineralization extends from surface or near surface to depths of at least 350 metres locally.
About Outcrop Gold
Outcrop is a hybrid prospect generator active in Colombia acquiring silver and gold exploration projects with world-class discovery potential. Outcrop performs its own grass roots exploration and then employs a joint venture business model on its projects to maximize investor exposure to discovery and minimize financial risk. Outcrop has five primary projects in Colombia. While Outcrop’s other projects are available for joint venture, Outcrop will continue to drill and progress the Santa Ana high-grade silver project.
Qualified Person
The technical information in this news release has been approved by Joseph P Hebert, a qualified person as defined in NI43-101 and President and Chief Executive Officer of Outcrop.
ON BEHALF OF THE BOARD OF DIRECTORS
Joseph P Hebert, Chief Executive Officer Mars Investor Relations
+1 775 340 0450 +1 647 557 6651
moc.procdlogporctuo@trebeh moc.snoitalerrotsevnisram@gco
www.outcropgoldcorp.com
Neither the TSX Venture Exchange nor its Regulation Services Provider (as such term is defined in the policies of the TSX Venture Exchange) accepts responsibility for the adequacy or accuracy of this release. Certain information contained herein constitutes “forward-looking information” under Canadian securities legislation. Generally, forward-looking information can be identified by the use of forward-looking terminology such as “potential”, “we believe”, or variations of such words and phrases or statements that certain actions, events or results “will” occur. Forward-looking statements are based on the opinions and estimates of management as of the date such statements are made and they are subject to known and unknown risks, uncertainties and other factors that may cause the actual results, level of activity, performance or achievements of Outcrop to be materially different from those expressed or implied by such forward-looking statements or forward-looking information, including: the receipt of all necessary regulatory approvals, capital expenditures and other costs, financing and additional capital requirements, completion of due diligence, general economic, market and business conditions, new legislation, uncertainties resulting from potential delays or changes in plans, political uncertainties, and the state of the securities markets generally. Although management of Outcrop have attempted to identify important factors that could cause actual results to differ materially from those contained in forward-looking statements or forward-looking information, there may be other factors that cause results not to be as anticipated, estimated or intended. There can be no assurance that such statements will prove to be accurate, as actual results and future events could differ materially from those anticipated in such statements. Accordingly, readers should not place undue reliance on forward-looking statements and forward-looking information. Outcrop will not update any forward-looking statements or forward-looking information that are incorporated by reference herein, except as required by applicable securities laws.